The hydraulic jack is actually a hydraulic system. Next, the author will briefly introduce the theoretical basis of the hydraulic jack lifting heavy objects - Pascal principle.
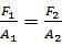
The Pascal principle is simply to apply a certain pressure on a piston in a hydraulic system. The increase in the pressure on the surface of the piston will inevitably produce the same pressure increase on the other piston, which is expressed by the formula:
F represents the pressure on the surface of the piston, and A represents the area of the piston.
With the Pascal principle, we can easily understand how hydraulic jacks work.

The picture above shows the working principle of a general hydraulic jack, which looks a bit complicated. The simplified schematic is as follows:

Simply speaking, a hydraulic jack is actually an asymmetrical U-tube. We can understand the reason why hydraulic jacks are “light weightlifting” based on high school physics knowledge.
As shown in the above figure, when the U-tube is filled with liquid, the liquid level on both sides should be flat because the atmospheric pressure on both sides is equal. At this time, if a pressure is applied to the pipe on the left, the pressure of the pipe will increase, and the water surface on the right will rise correspondingly to a certain height, so that the pressures on both sides will be equal again, and this phenomenon and the thickness of the water pipes on both sides are It doesn't matter.
However, the use of a labor-saving jack may not necessarily save time, because the lowering of the small piston is inversely proportional to the height of the large piston and the area of the two pistons - the smaller the piston area, the greater the height that needs to be raised or lowered. Therefore, the large area ratio of the jack also means an increase in the number of times the small piston is pressed.
In daily life, whether you use any of the above types of jacks to lift heavy objects, you may feel that you have saved a lot of effort, but in fact, this is only half right. The implication is that although using them is actually less laborious than not using them, the total energy you consume has not changed. In the case of a hydraulic jack, pressing a small piston is really labor-saving, but to raise a heavy object, we need to repeatedly press it many times, so the total energy of the required output does not change, and the energy is conserved before and after.